Universidade Federal de Minas Gerais
Instituto de Ciências Biológicas
Departamento de Biologia Geral
Ecologia Energética
O relatório, a seguir, é o produto de projeto teórico-prático da turma de ecologia energética, coorte de 2004, do curso de Ciências Biológicas do ICB/UFMG. O texto está reproduzido em sua forma original (exceto alguns detalhes dos métodos) apresentada pelos alunos da turma. Outras mudanças foram executadas nas fórmulas e nas figuras que sofreram algumas modificações que as possibilitaram de serem reproduzidas em ambiente web. Portanto, trata-se de um trabalho de alunos de graduação e tem - obviamente - muitas imperfeições e reparos que ainda devem serem feitos. No entanto, eu considero um trabalho de excelente nível não somente pela qualidade dos dados obtidos em campo, mas também pela elevada responsabilidade dos alunos durante o processamento das amostras, pela qualidade das análises executadas e, finalmente, pela dedicação na confecção do relatório final. O elevado nível das informações obtidas, o perfeito domínio da complexidade da metodologia e a correta exploração da literatura disponível reflete, sem a mínima dúvida, o alto grau de maturidade que os alunos obtiveram ao realizar esse trabalho.
Ricardo Motta Pinto Coelho
Janeiro de 2005
A manutenção e funcionamento dos ecossistemas aquáticos dependem de interações destes com o terrestre. A dinâmica dos ecossistemas de águas continentais (lagos, rios, reservatórios), bem como de suas comunidades aquáticas resultam de uma série de fatores interdependentes. A biota de águas interiores é muito mais diversa e rica do que a dos oceanos. Elas ocupam 0,0093% do volume total de água do planeta e, no entanto, 12% das espécies animais vivem nas águas interiores (contra 7% que vivem nos oceanos) (Tundisi, 2002).
A estrutura de uma comunidade está ligada aos processos energéticos que envolvem todo o ciclo: produção, ciclagem de nutrientes e decomposição. As alterações que ocorrem em reservatórios, rios ou lagos em um período de tempo variado, provocam diferentes respostas por parte da comunidade planctônica, que por possuir um ciclo de vida muito curto, reflete os principais processos que ocorrem nesses ambientes, podendo ser utilizada como parâmetro em estudo limnológico.
Em um lago, os organismos assumem padrões espaço-temporais típicos, sendo as variações diurnas e sazonais mais facilmente observadas. Os principais padrões espaciais se referem às variações horizontais e verticais. Esses padrões são assumidos conforme as características, químicas e físicas dos pontos, vão sendo modificadas.
As águas continentais estão submetidas a uma série de impactos decorrentes das atividades humanas, nas diferentes bacias hidrográficas. Dentre eles podemos citar: poluição, contaminação e introdução de substâncias tóxicas; introdução de espécies exóticas predadoras; remoção da vegetação ciliar em rios, represas e lagos; pesca excessiva; eutrofização excessiva; alteração na flutuação do nível da água e interferência no sistema hidrológico;remoção de espécies de grande importância na rede alimentar; desmatamento em geral e perda da vegetação inundável; intensificação das atividades de mineração; alterações nas condições químicas e físicas das águas (qualidade da água) - temperatura, oxigênio dissolvido, pH (por acidificação), nutrientes (por eutrofização), dentre outros (Tundisi, 2002).
A entrada de nutrientes ou de matéria orgânica em um lago acarreta rápidas mudanças em toda cadeia trófica do ambiente, como o crescimento exagerado de bactérias, o aparecimento de cianobactérias e o predomínio de formas detritívorasno zooplâncton.
É de grande importância estudar a ecologia microbiana de um determinado lago, uma vez que a densidade e distribuição de tais organismos refletem o nível dos impactos sofridos em conseqüência às atividades antrópicas. Análises quantitativas dos organismos microbianos abordando padrões de distribuição espacial e temporal são essenciais para avaliação da qualidade da água (Bianchini, 2004).
As lagoas do Parque Estadual do Rio Doce (MG), embora localizadas em área de proteção ambiental, apresentam dentre os componentes da fauna de peixes espécies predadoras, como o tucunaré e a piranha, introduzidas há algum tempo na bacia, e atualmente distribuídas entre várias lagoas (Godinho, 1996). Alguns problemas ecológicos graves, como a extinção local de espécies nativas, decorrentes destas introduções já foram detectados(Godinho, 1996 ). Segundo este autor, nas lagoas Carioca, D. Helvécio e Jacaré, cerca de dez anos após a detecção dos animais introduzidos, o número de espécies nativas caiu à metade e das que restaram, muitas correm o risco de desaparecer por redução de suas populações. Além de alterações na estrutura da comunidade de peixes, estas introduções certamente tiveram efeitos sobre a comunidade planctônica, ainda pouco avaliada.
O presente trabalho consiste na análise detalhada de diversos parâmetros (físico-químicos, microzooplâncton, mesozooplâncton, fitoplâncton e bacterioplâncton) em amostras de água do Lago Dom Helvécio, o maior e único aberto à visitação no Parque Estadual do Rio Doce, em Minas Gerais. Dentre os objetivos específicos deste trabalho, que serão apresentados a seguir, o principal deles que motivou a realização desta prática foi o objetivo didático. Os alunos que se envolveram nessa experiência tiveram a oportunidade de acumular um valioso conhecimento de forma bastante produtiva.
Este estudo teve como objetivo estudar a variação espacial da comunidade planctônica na Lagoa Dom Helvécio, associando tais variações à disponibilidade de recursos potencialmente limitantes para os produtores primários.
As hipóteses testadas foram:
1) As variações na estrutura vertical da comunidade planctônica estão ligadas à disponibilidade de luz;
2) A Lagoa Dom Helvécio já apresenta certo grau de impacto antrópico;
3) As variações espaço-temporais na Lagoa Dom Helvécio são conseqüências de processos estocásticos típicos de ambientes tropicais e não estão associadas a fatores abióticos (luz, temperatura, nutrientes).
Estas hipóteses foram testadas avaliando-se a estrutura do bacterioplâncton, fitoplâncton,microzooplâncton e mesozooplâncton, além da disponibilidade de recursos potencialmente limitantes para a produção primária.
3.1.1 - Parque Estadual do Rio Doce
O Parque Estadual do Rio Doce (PERD), situado no trecho médio do Vale do Rio Doce - sudeste do Estado de Minas Gerais, é considerado a maior reserva de Mata Atlântica do Estado. Com uma área de cerca de 36.000 hectares é delimitado pelo Rio Doce a leste e pelo Rio Piracicaba ao norte. Cerca de 44 lagoas fazem parte do complexo lagunar do PERD ocupando uma área de 6% do total do Parque. O sistema de lagos do PERD, situa-se na grande área fisiográfica denominada "depressão interplanaltica" do Rio Doce, confinado entre as elevações correspondentes ao planalto reverso da Serra do Mar (Barbosa,1981). Estas lagoas foram formadas há cerca de dez mil anos atrás, por transporte e deposição de sedimento que alteraram o leito original do Rio Doce. Destas lagoas, 21 encontram-se em processo de assoreamento natural (Santos, 1980). Considerada Área de Preservação Permanente (APP) apresenta biodiversidade elevada, com algumas espécies endêmicas da Mata Atlântica.
O clima na região é tropical úmido (AW de Köppen) com temperaturas médias anuais em torno de 20 a 22ºC, (variação média anual de 5a 7ºC) e período chuvoso entre outubro a março. A cobertura vegetal nesta área é de floresta tropical úmida, do tipo "Mata Atlântica". Os solos predominantes são latossolos vermelho-amarelos de orto-textura argilosa e os podzólicosvermelho- amarelos ,equivalente eutróficode orto-textura argilosa, fase floresta sub-perenifólia, relevo ondulado a montanhoso, segundo Camargo et al (Barbosa, 1981).
3.1.2 - Lago Dom Helvécio (19°45' e 19°50'S e 42°35' e 42°40'O)
É o maior e o mais profundo (32,5 metros) dos lagos. Possui uma superfície de 6,87 x 106 m2; volume de 8,31 x 106m3 e 45.000 m de perímetro. Com sua forma dendrítica(cinco braços principais) o lago encontra-se circundado por densa mata tropical do tipo "Mata Atlântica", apresentando a maior parte da região litorânea coberta por extensos "stands" de macrófitassubmersas, emergentes e de folhas flutuantes (Miriophylium sp, Eichhornia azurea, Nymphaea sp, Utricularia sp, Eleocharis interstincta dentre outras) (Tundisi & Saijo, 1997).
A ortofoto a seguir, ilustra parte do lago D. Helvécio (lagoa do Bispo) com os pontos amostrados e georeferenciados.

Mapa 1 - Ortofoto mostrando o lago Don Helvécio, situado no parque estadual do rio Doce. Origem: CEMIG (1989).
A seguir é apresentado o quadro com as coordenadas de cada ponto de coleta.Tabela de Coordenadas
| Latitude | Longitude | |
| 1 | 752.393 | 7.810.846 |
| 2 | 749.371 | 7.811.244 |
| 3 | 750.552 | 7.811.983 |
| 4 | 750.871 | 7.812.828 |
| 5 | 751.453 | 7.811.959 |
| 6 | 752.042 | 7.811.576 |
| 7 | 752.756 | 7.811.520 |
| 8 | 751.655 | 7.810.364 |
| 9 | 752.339 | 7.810.273 |
Quadro 1 - Coordenadas UTM dos pontos amostrados na Lagoa D. Helvécio pela turma de Ecologia Energética, coorte de 2004. Aparelho: GPS Garmin 12 canais.
O lago Dom Helvécio apresenta perfis fotossintéticos típicos de lagos oligotróficos (Matsumura-Tundisi, 1997), permanecendo estratificado térmica e quimicamente durante a maior parte do ano, com um curto período de circulação durante o inverno (junho a agosto) (Barbosa, 1981).
As coletas foram realizadas na tarde do dia 01 de Outubro de 2004, num ponto do lago Dom Helvécio situado à 23k752393 de latitude e 7810846 de longitude. Paralelamente às coletas, foram levantadas as características físicas do lago nessa região e na coluna d'água, a partir de medidas como: leitura do Disco de Secchi, perfil de oxigênio dissolvido (½ em ½ metro na zonatrófica e de metro em metro na afótica); valores de pH (uma leitura na zona fótica, uma na zona de transição e uma no fundo); condutividade elétrica e temperatura (perfil de ½ em ½ metro); radiação subaquática PAR (perfil de ½ em ½ metro de 1% da i0); nutrientes; sólidos e turbidez (PELD Todos os organismos contemplados neste estudo (bacterioplâncton, fitoplâncton, micro e mesozooplâncton) foram coletados em profundidades específicas na coluna d'água: 0, 1.5, 3, 4.5, 6, 12, 18 e 24 m.


Fotografias 1 e 2 - Fotografias dos alunos de Ecologia Energética, tomadas durante a excursão ao lago D. Helvécio, no dia 01 de outubro de 2004.
O bacterioplâncton foi coletado através de uma garrafa Van Dorn em um ponto da Lagoa Dom Helvécio, nas profundidades desejadas (0, 1.5, 3, 4.5, 6, 12, 18 e 24 m). Cada amostra foi de 200 ml, sendo posteriormente acondicionadas em frasco de PVC limpo, ao qual foram adicionados 40 ml de formol (37%). Os frascos foram estocados no escuro a 4 °C por até 48 horas.
Acrescentaram-se 0,2 ml (=70 mg) de solução DAPI (1,4 mg/ml) em um balão volumétrico de 500 ml contendo água ultra-filtrada e destilada (Milli-Q) para uma concentração final de 0,4 mg DAPI / ml.
Sobre um filtro (Millipore, poro de 0,4 micra, HEFHTBPO2500) de membrana de Ø25 mm pipetou-se uma alíquota de 0,3 ml da amostra fixada à qual juntaram-se 2,0 ml do corante DAPI. Esperou-se por 10 minutos e após este tempo procedeu-se a filtração à vácuo usando um aparato SS 25m e uma bomba à vácuo KNS (-600mbar). O filtro foi então acondicionado a uma placa de petri contendo um pré-filtro GF/C de 47 mm de Ø.
O filtro foi retirado cuidadosamente com uma pinça e transferido para uma lâmina limpa. A seguir, foi adicionada uma gota de óleo de imersão na lâmina. O material, então, foi levado ao microscópio de epifluorescência para a realização da contagem (aumento de 100x, lâmpada de mercúrio 30W, filtro UV, objetiva cromática, filtro central). Foram contados cerca de 30 campos para cada lâmina. As médias das densidades desses campos foram obtidas usando-se a fórmula:

onde:
D = n° de indivíduos / ml de água do lago;
X = n° de indivíduos contados no filtro e
F.C.= fator de concentração.
Para se obter o n° de indivíduos contados no filtro, foi utilizada a seguinte fórmula: X = Y x A/ a, onde: X = n° de indivíduos contados no filtro; Y = n° total de bactérias contadas na amostra divididas pelo n° de campos observados; A = área do filtro e a = área dos campos (Bianchini, 2004).
3.4 Mesozooplâncton e Microzooplâncton
A coleta foi realizada por instrumento de arrasto (rede planctonica) que promove uma filtragem dos organismos in situ(Edmonson e Winberg, 1971). Para coleta de amostras utilizou-se uma rede de nylon de malhas 200 m (mesozooplâncton) e uma rede de nylon de malhas 68 micrometros (microzooplâncton), ambos com diâmetro de boca igual a 40 cm. Os arrastos foram feitos na zona limnética, sendo a rede descida à profundidade específica de cada estação (conforme indicado nas tabelas de cada estação de coleta). A seguir a rede foi levantada numa velocidade constante até a superfície. O material coletado no frasco conectado ao final da rede corresponde ao volume filtrado definido pela seguinte relação:
![]()
Onde:
Vf = Volume de água filtrada (litros)
r2 = Raio da boca da rede (r = 0,20 m)
AV = Arrasto vertical
3.4.1 Preservação da amostra
Cada amostra foi colocada em um frasco de aproximadamente 170 mL. A fixação foi feita imediatamente à colocação do volume filtrado nos frascos plásticos. Foi usado com agente fixadoruma solução de formalina 4% neutralizada em pH neutralizado com borax. Não houve intenção de corar os organismos, uma vez que acredita-se que somente com formalina neutra garante-se uma boa preservação. Cerca de 10mL do fixador foram adicionados a cada amostra.
3.4.2 Sub-amostragem
No laboratório o volume da amostra foi medido numa proveta graduada e anotado. A seguir a amostra foi colocada num béquer e homogeneizada. Com a amostra ainda em agitação, uma sub-amostra foi tomada com o auxílio de uma pipeta não-seletiva de Hensen-Stempelde 1,0 mL de capacidade. O conteúdo desta pipeta foi então depositado numa câmara de contagem do tipo Sedgwick-Rafter (S-R) também de um mL de capacidade.
As cubetas foram então levadas ao microscópio óptico no aumento de 32x para contagens. Todo o conteúdo do total de cubetas S-R foi contado e registrado em tabelas específicas para cada estação. Foi necessário um número específico de cubetas para cada estação até atingir o mínimo de 400 organismos por estação.
3.4.3 Cálculos
A densidade de organismos do mesozooplâncton foi calculada pela seguinte fórmula:

3.5 Fitoplâncton
As coletas foram realizadas com garrafas de Van Dorn (3 Litros), sendo as amostras integradas acondicionadas em frascos, fixadas com lugol e mantidas no escuro. Para análise qualitativa foram realizados arrastos horizontais e verticais (na zona limnética), com o uso da rede de 20 m de abertura de malha, submergindo a rede ao longo do perfil vertical, sem deixar a mesma tocar o sedimento.
A abundância fitoplanctônica foi obtida a partir da quantificação dos organismos em câmaras de sedimentação, de volume conhecido em campos aleatórios (Uthermöhl, 1958), sob microscópio invertido, sendo as amostras previamente sedimentadas por pelo menos três horas para cada centímetro de altura da câmara (Margalef, 1989).
Para cada amostra levada ao microscópio, foram identificados 400 indivíduos e contabilizados o número de campos necessários para contabilizar tal montante.
Os resultados foram expressos em indivíduos (células, cenóbios, colônias ou filamentos) por mililitro. A densidade dos organismos foi calculada segundo Vilafañe e Reid (1995):

Vb = Volume varrido (ind/ml).
Ab = Área varrida (número de campos contados x área do campo da objetiva).
V = Volume sedimentado.
At = Área total da câmara de sedimentação.
A densidade foi expressa em indivíduos /ml.
Para as análises físico-químicas, foram medidos os seguintes parâmetros:
Para cada amostra (todas as estações e todas as profundidades do perfil) foram consideradas as seguintes condições no momento:
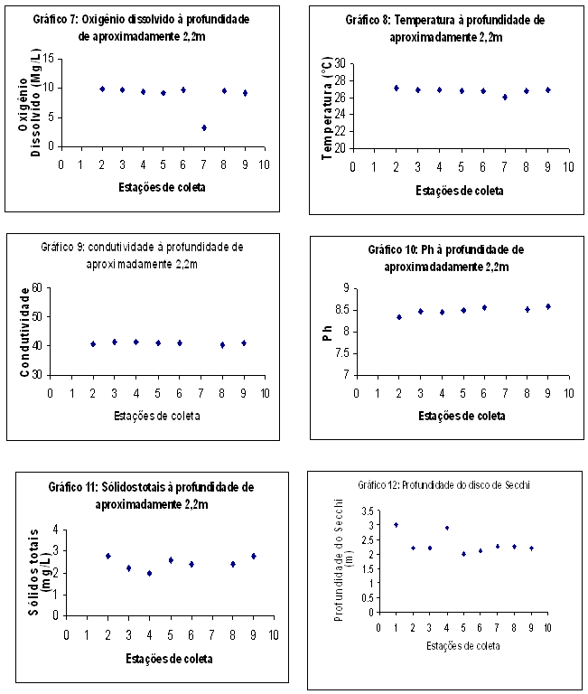
Os dados do ponto 1, onde foi realizado o perfil, relativos aos parâmetros físicos de OD, temperatura, condutividade, luminosidade, ph e sólidos totais estão representados nos gráficos de 1 a 6 do anexo.Os dados relativos ao OD, temperatura, condutividade, ph e sólidos totais nos demais pontos amostrais do lago estão representados nos gráficos de 7 a 11. As profundidades do disco de Secchi em todas as estações amostrais estão demonstradas no gráfico 12.As concentrações de nutrientes ao longo do perfil do Ponto 1 e nos demais pontos amostrais do lago estão representados nos gráficos 13 e 14.
Em todos os pontos coletados houve uma predominância significativa de Cyanophyceae em relação aos outros grupos. Bacillariophyceae, Clorophyceae e Zygnemaphyceaeforam constatados em quase todos os pontos, mas sempre em quantidades bastante inferiores às Cyanophyceae. Não foi observado nenhuma Euglenophyceae ou Chrysophiceae em qualquer ponto da Lagoa Dom Helvécio. As Dinophyceae foram observadas sempre próximas à superfície (Estação 1 - 0m e 1,5m; Profundidade de Secchi nas outras Estações) e sempre em baixíssimas quantidades. As Cryptophyceaeforam observadas em baixas quantidades apenas na estação na Estação 4.
O perfil da Lagoa é bastante similar em quase todos os pontos, com uma dominância significativa de Cyanophyceae em relação aos outros grupos. Apenas a 12m de profundidade na Estação 1 ocorre uma diminuição no número de Cyanophyceae e uma expressividade maior dos outros grupos. Apesar disto, mesmo neste ponto as Cyanophyceaesão dominantes (Gráficos 15 e 16).
Através da análise do gráfico 17, observou-se a maior densidade de zooplâncton na estação 2(> 100.000 Org/m3) e as menores densidades nas estações 1 e 3 (< 14.000 Org/m3). Nas outras estações as densidades foram similares variando de cerca de 20.000 a 40.000 Org/m3.
O gráfico 18 apresenta a distribuição das diversas formas de microzooplâncton. Através da análise deste, foi observado que as formas dominantes foram nauplii e copepodito de Ciclopoida em todos as estações em estudo. Nauplii e copepoditode Calanoida e rotíferosestiveram presentes em todos as estações, mas em menor densidade que os de Ciclopoida. Cladoceros não foram encontrados na estação 2 e suas densidades foram baixas sendo a mais alta na estação 9 (471,6 Org/m3).
A diversidade de mesozooplâncton encontrada no Lago Dom-Helvécio foi pequena. Os gêneros de Copépodaencontrados em maiores densidades foram: Notodiaptomus (ordem Calanoida) e Thermocyclops(ordem Cyclopoida). Também foram encontrados em pequenas densidades e somente na Estação 6 outros representantes cyclopoida: Tropocyclops e Miocrocyclops. Os gêneros de Cladoceraencontrados foram: Diaphanosoma, Bosmina, e Ceriodaphnia, sendo Diaphanosoma o gênero mais abundante. De maneira geral, na maioria das estações predominaram a ordem Calanoida (neste estudo representado apenas pelo gênero Notodiaptomus) e o gênero Diaphanosoma, como mostram os gráficos das estações 2 PELD, 3, 5, 6, 8, 9. A Estação 2 mostra uma forte predominância do gênero Diaphanosoma (com densidade de 11000 ind/m3), mas ainda com representantes de outros grupos, principalmente Calanoida. A Estação 4, ao contrário, mostra uma forte predominância de Calanoida (densidade próxima a 30000 ind/m3), sem representes de Diaphanosoma. A maioria dos pontos de coleta apresentaram Chaoborus (larva de Diptera), porém em densidades inferiores comparadas aos crustáceos.
A densidade de mesozooplâncton nas estações variaram entre 4.500 ind/m3 (Estação 5 e 6) e 70.000 ind/m3 (Estação 4). A densidade média de toda a comunidade variou em aproximadamente 4000 ind/m³, sendo que os dois grupos mais representativos (Calanoidae Diaphanosoma) tiveram suas populações variando entre 1500 ind/m³ a 2000 ind/m³. Apesar da E. 4apresentar os maiores valores de densidade total, não apresenta a maior diversidade. As E. 6 e PELD 2 são as que apresentaram maiores diversidades.
O perfil de um lago é fundamental para caracterização das comunidades aí existentes, podendo diferenciar os variados grupos e suas funções ecológicas. Como mostra a Gráfico 27 (A e B), os cocoides atachados (aderidos à matéria orgânica) apresentaram uma maior densidade nas profundidades de 0, 1.5, 6 e 12 m, enquanto os de forma livre foram mais densos nas maiores profundidades (18 e 24 m). As densidades de bastonetes foram maiores nas menores profundidades, porém esses valores foram em geral mais baixos que as densidades dos outros organismos. A presença de colônias foi bem elevada a 4,5 m (Gráfico 28 - C), enquanto que as densidades de flagelados e ciliados foram pequenas em toda coluna d'água. As algas bastonetes tiveram poucos representantes amostrados (Gráfico 28 - D), enquanto as algas atachadas e livres apresentaram-se em densidades bem altas quando comparadas aos outros organismos. Essa presença se concentrou principalmente nas primeiras profundidades, fato que pode ser observado pelos Gráficos 27 (D) e 28. Tal resultado pode ser devido à presença de luminosidade suficiente para realização de fotossíntese, que tem sua eficiência diminuída com o aumento da profundidade. Isso acompanha também uma redução do número de algas presentes.
De acordo com a Gráfico 29, os cocoides predominaram na superfície da água (mais de 80%), em seguida, sua presença foi reduzida e só voltou a predominar a partir de 6 m (50%) aumentando até 18 m. Na profundidade de 24 m não foi encontrado nenhum organismo, o que é estranho em regiões afóticas e anaeróbicas. Esse resultado pode estar relacionado à oferta de nutrientes nesse ambiente.
As algas começaram a aparecer somente nas profundidades de 1,5 m com mais de 80% e continuaram predominando nas profundidades de 3e 4,5 m. Já a 6 m continuaram presentes porém com menor representação, que diminui com um abaixamento na coluna d'água. O fato de não haverem algas na superfície pode ser explicado por uma foto-inibição causada pela intensa radiação recebida por essa área, a qual também provoca uma redução na taxa fotossintética nas primeiras parcelas de um lago.
Os outros organismos ciliados, flagelados, coloniais e bastonetes existem em pequenas quantidades quando comparados com as algas e cocoides. Esse fato pode ser resultado de o Lago D. Helvécio ser considerado um lago oligotrófico. Essa característica de acordo com a teoria da alça microbiana favoreceria a presença de bactérias que são mais eficazes em absorver nutrientes em menores concentrações em detrimento do fitoplâncton que seria favorecido em ambientes mais eutrofizados (Pinto- Coelho, 2000). Porém nota-se que neste estudo que na região em que se esperava mais bactérias (24 m) não teve nenhuma ocorrência de microorganismos.
Os gráficos 29 e 30 mostram a relação entre a freqüência de bactérias, protistas e algas com o fósforo total e oxigênio dissolvido, nas diferentes profundidades.
Como verificado nos gráficos do perfil, a lagoa encontrava-se estratificada termicamente no período da coleta. Encontra-se uma forte depleção de oxigênio no hipolímniocom uma queda brusca a partir dos 8 metros. A luminosidade apresentou uma queda exponencial com a profundidade e seguiu o padrão proposto por Margalef (1989) (Profundidade do Secchix 3,7 = 1% da luminosidade). Os sólidos dissolvidos foram constituídos basicamente de biomassa, explicando a grande transparência da água. Esse padrão é típico de épocas de seca, quando não há aporte de sedimentos alóctones carreados pela chuva. O pH apresentou-se bastante alcalino, principalmente nas camadas mais superficiais da coluna d`água. As concentrações de nutrientes apresentam valores maiores de amônia e menores de nitrito. O fósforo e a amônia apresentaram maior flutuação com a profundidade, enquanto que o nitrito foi mais homogêneo. Os parâmetros físicos foram no geral bastante homogêneos ao longo das estações amostrais do lago. Uma exceção foi o valor de oxigênio dissolvido no ponto 7, bem menor que a média verificada. Este resultado provavelmente deveu-se ao fato desse ponto estar localizado em um banco de macrófitas. O metabolismo dessas macrófitas, juntamente com o da microbiota associada, provavelmente está aumentando a DBO local. Com os dados apresentados, pode se dizer que o lago encontra-se em condições oligotróficas.
Foi observado neste trabalho, que as formas jovens de copépodas ciclopoidaocorrem na comunidade microzooplanctônica, do lago Dom Helvécio, como grupos de maior abundância (Figura 2), como observado por Maia-Barbosa em 2000 (Maia-Barbosa, 2003) e Matsumura-Tundisi etal, (1997). Maia-Barbosa, (2003), também observou que o grupo dominante de microzooplâncton era composto principalmente por rotíferos e Thermocyclops minutusnauplii.
O hábito alimentar dos ciclopóides tem sido um assunto de controvérsia porque estes vêm sendo considerados por muitos autores como herbívoros. Na realidade seria melhor considera-los como onívoros porque estas espécies são raptoriais, procurando por ambos os alimentos: grandes quantidades de células de fitoplâncton e pequenas quantidades de zooplâncton (Matsumura-Tundisi et al, 1997).
Segundo trabalho realizado no lago Dom Helvécio (Matsumura-Tundisi et al, 1997) verificou-se que a captação de carbono estatisticamente significante (P<0,001) por Thermocyclopsminutus foi obtido quando as espécies foram permitidas se alimentar com células de fitoplânctonapresentando tamanhos maiores que 50μm em amostras enriquecidas ou em amostras com fitoplâncton natural contendo bloom de Microcystis aeruginosa (cianofíceas). Estes dados confirmam o hábito de herbivoria e raptorialde Thermocyclops minutuscapturando grandes partículas assim como colônias de Microcystisaeruginosa, Microcystisrobusta, Botryococcus brauniie Aphanocapsa pulchra.
Lampert (1981) verificou que a população de Thermocyclops minutusdo lago Dom Helvécio pode sobreviver muito bem se alimentando de colônias de Microcystis aeruginosa, afinal há evidências que essas cianofíceas tem efeito tóxico para muitos organismos zooplanctônicos.
Quanto á comunidade mesozooplanctônica, de acordo com os dados apresentados no relatório anual do Programa de Pesquisas Ecológicas de Longa Duração (PELD) de 2003, os organismos deste grupo que mais contribuíram para as densidades encontradas em alguns lagos dentro e fora do parque foram os copépodos, principalmente com as espécies Thermocyclops minutuse Notodiaptomus sp. Os achados do presente estudo corroboram em parte estes resultados, encontrando Notodiaptomuscomo o gênero mais abundante, mas os representantes dos ciclopoidascom uma abundância muito baixa. Além disso, Maia-Barbosamostra no relatório uma densidade de cladoceros bem menor em relação aos outros grupos, com as seguintes espécies como principais representantes: Diaphanosoma birgei, Ceriodaphniacornuta/silvestrii e Daphnialaevis. Os dados do presente estudo novamente corroboram apenas em parte estes achados, tendo o gênero Diaphanosomacomo principal grupo de cladocera encontrado, mas com densidades parecidas às de Notodiaptomus. Portanto, não se constatou uma dominância de copépodosna densidade, mas sim dos dois grupos. Este fato é confirmado por Rocha, Sendacz e Matsumura-Tundisi(1995) para o mesmo lago.
Um ponto interessante encontrado nas amostragens de mesozooplânctonfoi a elevada densidade de Calanoida (próxima a 30000 ind/m3) na Estação 4. A explicação para este achado pode estar no fato de esta ser a única das estações amostradas que mostrou presença de algas cryptophyceas (Cryptomonas) como componente do fitoplâncton, com uma densidade de 196 ind./mL (196.000.000 ind/ m3). É amplamente conhecido que estas algas participam de uma das mais importantes redes alimentares do ambiente marinho. As cryptophyceasfazem parte da rede alimentar do arenque (Clupeaharengus), sendo consumidas por calanoides marinhos que por sua vez são consumidos por este peixe (Pinto-Coelho, 2000).
A densidade e a composição da comunidade fitoplanctônicapraticamente não sofreu grandes variações ao longo da coluna d'água. Apenas a 12 m de profundidade houve uma expressiva redução no total de indivíduos, fato este devido exclusivamente à redução na densidade de cianofíceas nesta profundidade, já que os outros grupos (Bacillariophyceae,Clorophyceae e Zygnemaphyceae) sofreram um aumento em suas densidades totais. Apesar disto, a densidade de cianofíceas nesta profundidade foi bastante superior às densidades dos outros grupos.
Não houve nenhuma correlação entre a distribuição do fitoplânctoncom qualquer um dos parâmetros físico-químicos analisados.
Os resultados encontrados para a comunidade fitoplanctônica não coincidem com nenhum dos resultados apresentados no Relatório PELD 2004. Neste relatório, a composição do fitoplâncton variou consideravelmente nos anos de 2001, 2002 e 2003. Desta forma, parece não haver um padrão na distribuição sazonal na distribuição do fitoplâncton na Lagoa Dom Helvécio.
Na figura 27 é observada estratificação do bacterioplânctonao longo da coluna d'água. Inicialmente na superfície encontrou-se valores próximos a 0 para o picoplânctone esse nível foi caracterizado principalmente pela presença de bactérias. Dados semelhantes foram obtidos por Barbosa & Tundisi (1980) em uma pesquisa realizada na Lagoa Carioca, também situada no Parque Estadual do Rio Doce, Brasil. Esses autores apontam como provável causa desses resultados o excesso de luminosidade na superfície que pode exceder o ponto compensatório do fitoplâncton.
Na profundidade 1,5 observa-se uma alteração drástica na qual a porcentagem de algas é muito superior a de bactérias. Isso se deve provavelmente a disponibilidade de luminosidade adequada no ambiente.
Avaliando-se as profundidades de 1,5m a 18m é visto que à medida que a luminosidade diminui ocorre alteração na composição dos organismos sendo que o número de algas diminui e o número de bactérias aumenta. Entretanto na profundidade de 24m não foi encontrado nenhum dos organismos estudados, o que indica a ausência de recursos e condições favoráveis para o estabelecimento dos organismos.
Além disso, a densidade bacteriana em ambientes aquáticos normalmente oscila em função do estado trófico desses ambientes e valores inferiores a 1,7 x 106 estão relacionados a ambientes oligotróficos(Forsber & Ryding, 1980; Bird & Kalff, 1984). No lago Dom Helvécio os valores de densidade bacteriana encontrados estão dentro deste limite para lagos oligotróficos.
Em todos os procedimentos para obtenção de dados, seja in situ com aparelhos especiais, ou em laboratório com reações químicas minuciosas, fomos bem sucedidos. Além de aprimorar os nossos conhecimentos quanto à metodologia, à prática e também à teoria da composição físico-química de uma amostra de água, os resultados obtidos, por si só, trouxeram muitas informações a respeito da condição da água do lago Dom Helvécio, no PERD. Somados às outras análises, esses resultados permitem a ilustração detalhada do perfil daquele reservatório, contribuindo significativamente para a melhor compreensão da dinâmica ecológica no Parque. O destino desses resultados não é do nosso conhecimento mas, certamente, acumularam uma valiosa carga de experiência sobre todos aqueles que se envolveram nesse trabalho.
Percebe-se que ao longo da coluna d'água a densidade do bacterioplâncton se altera de acordo com as condições de luminosidade, pH, oxigênio e nutrientes disponíveis. A determinação desses fatores e de sua interação com o meio é de grande importância para a determinação da comunidade aí residente, possibilitando o estudo do manejo e conservação dessas áreas.
Copépoda Ciclopoida (nauplius e copepoditos) é o grupo dominante no lago Dom Helvécio devido ao seu hábito alimentar raptorial, alimentando-se de cianofíceas o qual é grupo dominante e apresentam efeito tóxico para a maior dos organismos zooplanctônicos.
O projeto apresenta dados que mostram que não somente a penetração de radiação luminosa mas também o oxigênio dissolvido e a disponibilidade de fósforo são fatores muito importantes para a estruturação vertical de muitos componentes da biota planctônica. Outro ponto relevante é a heterogeneidade espacial observada dentro do lago fato não somente visto para os fatores físico-químicos mas sobretudo para a estrutura da comunidade fito e zooplanctônica.
Deve ser destacada a baixíssima diversidade do zooplâncton que é dominado por um conjunto de poucas espécies. Em todos os pontos, existe uma forte predominância - pelo menos na fração do mesozooplâncton - de apenas dois organismos: Diapahanosoma e o calanoide Notodiaptomus . Merecem destaque as grandes diferenças quantitativas observadas nas frações do micro e mesozooplâncton ficando claro que os calanóides, ao lado do cladócero Diaphanosoma, são os organismos mais importantes em termos de biomassa e tamanho. O estudo do zooplâncton em duas diferentes frações de tamanho ora adotado é um fato pioneiro na limnologia brasileira. Essas conclusões contrastam com os dados apresentados pela fração do microzooplâncton que corrobora trabalhos anteriores que dão conta como sendo os ciclopóides os organismos mais importantes do sistema. Dessa forma, fica claro que o estudo considerando diferentes frações do zooplâncton pode trazer novas e importantes informações para a ecologia desses organismos.
Fotografia 2 - Microfotografias ilustrando os dois principais componentes da fração do messozooplâncton, ou seja, o copépode calanóide Notodiaptomus e o cladócero Diaphanosoma. Fotos de Fabrícia Miranda.
A forte depleção do oxigênio dissolvido, a baixa diversidade do zooplâncton, a presença marcante das cianobactérias e o aumento dos calanóides nos pontos menos antropizados do lago (ponto 4) sugerem que o sistema já sofre considerável impacto antrópico muito embora o ecossistema mantenha ainda suas caracteristicas oligotróficas (alta transparência e teores baixos a médios de nutrientes). Esse impacto pode ser o resultado de invasões de peixes exóticos, deposição atmosférica de poluntes industriais ou mesmo impactos causados por uma gestão inadequada do lago.
As variações observadas tanto na escala vertical quanto na escala horizontal sugerem a ação muito forte de fatores abióticos tais como o oxigênio e a disponibilidade de fósforo. A distribuição horizontal do zooplâncton sugere que fatores antrópicos possam estar já atuando de modo importante no lago. Esses fatos, em nosso entendimento, indicam que o lago já deve ser tratado como um ecossistema impactado e que apresenta alguns sinais preocupantes de degradacao ambiental devendo, portanto, ser submetido a uma nova estratégia de gestão ambiental com a adoção de novas técnicas de manejo de sua biota.
Barbosa, F.A.R.(1981) Variações diurnas (24 horas) de parâmetros limnológicos
básicos e da Produtividade Primária do fitoplâncton na Lagoa Carioca - Parque
Florestal do Rio Doce - MG- Brasil. Tese de Doutoramento. Universidade Federal de São Carlos.
Bianchini, D.C. 2004. A importância da "alça" microbiana no reservatório da
Pampulha: variações espaço-temporais. Monografia apresentada para obtenção do
título de Bacharel em Ecologia/ UFMG.
Esteves, F. A. (1998). Fundamentos de Limnologia 2aEdicão. Rio de Janeiro:
Interciência.
Godinho, A. L.(1996). Peixes do Parque Estadual do Rio Doce. Instituto Estadual de
Florestas. Universidade Federal de Minas Gerais,.
Lampert, W. (1981). Inibitory and toxic effects of blue green on Daphnia. Int Revue ges.
Hydrobiol, 66(03): 285-298
Maia-Barbosa, P. M., Eskinazy-Santanna, E. M. & Barbosa, F. A. R.(2003). Zooplankton
Composition and Vertical Distribuition in a Tropical, Monomictic lake (Dom
Helvécio Lake, Southeastern Brazil). Acta Limnol. Bras., 15(1):65-74, 2003.
Margalef, R. Ecologia. Barcelona: Omega, 1989. 951 p.
Matsumura-Tundisi, T. (1997) Composition and Vertical Distribution of Zooplankton
in lake Dom Helvécio. In: Tundisi, J.G. & Saijo, Y. Limnological Studies on the Rio
Doce Valley Lakes, Brazil. Brazilian Academy of Sciences, University of São Paulo,
School of Engineering at São Carlos, Center for Water Resources and Applied Ecology.
Matsumura-Tundisi, T. (1997) Carbon uptake by Scolodiaptomus corderoi and
Thermocyclops minuts feeding, J. G. & Saijo, Y. (eds). Limnological Studies on the
Rio Doce Valley Lakes, Brazil. Brazillian Academy of Sciences, University of São
Paulo School of Engineering at S. Carlos and Center for Water Resources and Applied
Ecology, São Paulo.P. 275-284.
PINTO-COELHO, R. M. Fundamentos em Ecologia. Porto Alegre: Artmed, 2000. 252 p.
Programa de Pesquisas Ecológicas de LongaDuração- PELD/CNPq. Projeto: Dinâmica
biológica e a conservação da biodiversidade da Mata Atlântica do médio Rio Doce,
MG (PELD-UFMG). Relatório Técnico-Científico das atividades de agosto 2002 a
dezembro2003.
Santos, L.C. (1980) Estudos das populações de Cladocera em cinco lagos naturais
(Parque Florestal do Rio Doce - MG), que se encontram em diferentes estágios de
evolução. Dissertação de Mestrado. Departamento de Ciências Biológicas . UFSCar.
São Calos, SP.
ROCHA, O.; SENDACZ, S.; MATSUMURA-TUNDISI, T. Composition, biomass and
productivity of zooplankton in natural lakes and reservoirs of Brazil. Limnology in
Brazil (Tundisi, J. G.). Rio de Janeiro: Academia Brasileira de Ciências, 1995.
Tundisi, J. G. & Saijo, Y.(1997). Limnological Studies On the Rio Valley Lakes, Brazil.
Brazilian academy of Sciences , University of São Paulo School of Engineering at S.
Carlos, Center For Water Resources and Applied Ecology .
Tundisi, J. G., Tundisi, T. M. & Rocha, O.Águas Doces no Brasil - Capital Ecológico,
Uso e Conservação. 2° Edição São Paulo - 2002.
Utermöhl, H. 1958. Zur vervollkomnung der quatitativen phytoplankton-methodik. Mitt.
Int. Verein. Theor. Angew. Limnol. V.9 p.1-38.
Villafañe, V. E.; REID, F. M. H. 1995. Metodos de microscopia para la cuantificacion del
fitoplancton. In: Aveal, K.; Ferrario, M. E.; Oliveira, E. C.; Sar, E. (Eds.). Manual de
métodos ficologicos. Universidad de Concepción, Chile.
Figuras 1-6 : Aspectos físico-químicos da água (perfil no ponto 1 estação PELD) no lago D. Helvécio, Parque Estadual do Rio Doce.
Figuras 7-12 Físico-química da água em diferentes pontos (ver mapa 1, acima) no lago D. Helvécio, Parque Estadual do Rio Doce.
Figuras 13 e 14 - Concentrações de fósforo total, nitrito e amônia em um perfil na coluna de água de um ponto central do lago D. Hlevécio (estação PELD, número 01), gráfico à esquerda e em diferentes pontos do lago, sempre na profundidade de Secchi (2,2 m), painel à direita.
Figura 15 - Distribuição horizontal da densidades (n cel/ml) da comunidade fitoplanctônica no Lago Dom Helvécio.
Figura 16 Distribuição vertical (em escala relativa) da comunidade fitoplanctônica do Lago Dom Helvécio (estação PELD).
Figura 17 -Densidade total do microzooplâncton do lago Dom Helvécio
Figura 18 - Distribuição espacial das diversas formas de microzooplâncton do lago Dom Helvécio
Figura 19 - Composição e densidade de Mesozooplâncton em um ponto central do Lago Dom Helvécio (estação PELD, onde foi feito o perfil para obtenção dos dados físico-químicos e do bacterioplâncton na coluna de água).
Figura 20 - Composição e densidade de Mesozooplâncton no Lago Dom Helvécio (estação 2, vide a orotofoto acima com todos os pontos amostrados).
Figura 21 - Composição e densidade de Mesozooplâncton no Lago Dom Helvécio (estação 3, vide a orotofoto acima com todos os pontos amostrados, AV = distância vertical em metros do arrasto da rede de plâncton.).
Figura 22 - Composição e densidade de Mesozooplâncton no Lago Dom Helvécio (estação 4, vide a orotofoto acima com todos os pontos amostrados, AV = distância vertical em metros do arrasto da rede de plâncton.).
Figura 23 - Composição e densidade de Mesozooplâncton no Lago Dom Helvécio (estação 5, vide a orotofoto acima com todos os pontos amostrados, AV = distância vertical em metros do arrasto da rede de plâncton.).
Figura 24 - Composição e densidade de Mesozooplâncton no Lago Dom Helvécio (estação 6, vide a orotofoto acima com todos os pontos amostrados, AV = distância vertical em metros do arrasto da rede de plâncton.).
Figura 25 - Composição e densidade de Mesozooplâncton no Lago Dom Helvécio (estação 8, vide a orotofoto acima com todos os pontos amostrados, AV = distância vertical em metros do arrasto da rede de plâncton.).
Figura 26 - Composição e densidade de Mesozooplâncton no Lago Dom Helvécio (estação 9, vide a orotofoto acima com todos os pontos amostrados, AV = distância vertical em metros do arrasto da rede de plâncton.).
Figura 27 - Densidade de indivíduos na coluna d'água (A - Cocoides; B - Colônias, Ciliados e NHF ; C - Bastonetes, D - Algas) em um ponto central do lago D. Helvécio (estação PELD).
Figura 28 - Proporção dos grupos do picoplâncton encontrados em diferentes profundidades em um ponto central do lago Dom Helvécio (estação PELD).
Figura 29 - Influência do teor de fósforo total em diferentes profundidades no lago Dom Helvéécio (estação PELD) sobre a distribuição de grupos de bactéérias, protistas e algas na coluna de água.

Figura 30 - Influência do oxigênio dissolvido em diferentes profundidades no lago Dom Helvécio (estação PELD) sobre a distribuição de grupos de bactéérias, protistas e picoalgas.
Texto e figuras criadas pelos alunos do curso de Ecologia Energética, Departamento de Biologia Geral, ICB, UFMG, coorte de 2004.
Página Web criada por Ricardo Motta Pinto Coelho
em Janeiro de 2005
Todos os direitos reservados.